精機製品・技術レポート:NSKリニアガイドの高精度化技術開発
1. まえがき
近年の工作機械や各種製造装置の高精度化に伴って、転がり直動案内の運動精度の向上が求められている。
転がり直動案内の運動精度を低下させる要因として、転動体の移動に伴う周期的な変位成分である転動体通過振動や、レールのボルト締結に伴う変形が挙げられる。
本稿は、上記の要因に対する実験的・理論的な検討を通じて、より高精度な転がり直動案内の実現のための指針を提示することを目的とする。
2. リニアガイドの運動精度について
図1に示す方法で、1レール1ベアリングのリニアガイドについて、ベアリングを等速で移動させたときの姿勢(角度)変化をオートコリメータで測定した結果を図2に示す。この測定結果には、次の2種類の顕著な変動成分が見られる。

(1) 転動体通過振動
図2にみられる波長の短い変動成分は、リニアガイド内部の転動体(ボール)の移動に関連するものであり、これを転動体通過振動と呼んでいる。
この変動の波長は転動体直径の約2倍である。
(2) ボルトピッチの変動
図2にみられる波長の長い変動成分は、リニアガイドのレール取付けボルトのピッチにほぼ等しい波長である。この変動は、ボルトの締付けによってレールが変形することに起因する。
3. 転動体通過振動の抑制
3.1. 転動体通過振動の測定例
図1の方法による転動体通過振動の測定結果の一例を図3に示す。測定結果には、転動体であるボールの直径の約2倍の波長で顕著な振動が現れている。転動体通過振動によるベアリングの角度変化自体は小さいが、オーバーハングした点(ベアリングからの距離が大きい位置)では大きな変位に増幅されるため、しばしば問題となる。

3.2. 転動体通過振動の発生メカニズム
転動体通過振動が発生するメカニズムを簡単に説明するために、図4(a)に示すような2列のボール溝を有するリニアガイドを考える。
2つの溝のボールの配置が図4(b)のようにボールの直径Dwの1/2だけずれていると仮定する。このとき、上溝のボール数<下溝のボール数である。リニアガイドに予圧が与えられていて外部荷重が作用しない場合、上溝のボール荷重の総計=下溝のボール荷重の総計であるから、上溝のボール1個あたりの荷重>下溝のボール1個あたりの荷重となる。すなわち、上溝のボールが下溝より大きく変形し、上下のボールの配置が同一の場合図4(a)に比べて、ベアリングは下方に移動する。この状態からベアリングがDw移動すると、ボールはDw/2移動し、図4(c)のような状態になる。このときボールの配置は、図4(b)と上下が入れ替わった形である。したがって図4(a)の状態に比べて、ベアリングは上方に移動する。ベアリングがボール径の2倍の距離を移動すると、ボールの配置は最初と同じ状態に戻る。したがって、ボール径の2倍の距離ごとに繰り返し変動が現れる。これが転動体通過振動の主原因である。

以上はボール溝が2列の場合の議論であるが、図5(a)のようにボール溝が4列のリニアガイドにおいても、2溝の場合と同様な考え方を適用することができる。また、ここでは上下方向の変位のみを議論したが、同様の理由でベアリングには左右方向や、回転方向すなわちピッチング、ヨーイングおよびローリング方向にも姿勢変化が生じる。
ボール溝が4列のリニアガイドにおいては、一般には4列それぞれのボールの配置を仮定し、それら全体としての力およびモーメントのつり合いを考えることによって、あらゆる方向の姿勢変化を計算することができる。
しかし、それでは計算式が煩雑になるので、次節では実用的な見地から、転動体通過振動の最大値を求めるこを主眼として、より簡素化した計算方法を紹介する。
具体的には、上下方向とピッチング方向を代表として、図5(a)の溝1と溝2、溝3と溝4とがそれぞれ同じボールの配置とする。そして、ボールの配置が溝1、2と溝3、4とでボールの直径(正確にはボール中心間距離)の1/2だけずれているとすれば、上下方向およびピッチング方向の姿勢変化の最大値を求めることができる。
その他の方向についても、左右方向とヨーイング方向については、図5(a)の溝1と溝3、溝2と溝4とが、ローリング方向については溝1と溝4、溝2と溝3とがそれぞれ同じボールの配置とすることによって、同様な考え方で姿勢変化を計算することが可能である。

3.3. 転動体通過振動の計算
前節では簡単のため、ベアリングのボール溝が長手方向に一様な断面形状を持つと仮定した。しかし実際には、図5(b)にモデル化して示したように、ベアリングのボール溝端部には緩やかな傾斜が設けられており、この傾斜部をクラウニングと呼んでいる。クラウニングを設けることによって、ベアリング端部のボールは、移動に伴って徐々に負荷が増加・減少していくので、ベアリングの姿勢変化を緩和することができる。
ここでは、クラウニングも考慮して、転動体通過振動の理論的な計算方法を示す。
図5(a)のような、4列のボール溝を有するリニアガイドを考える。ボール溝は4列とも同じ形状で、長さをL 1とする。接触角α,上下方向の変位z,ピッチング方向の角度変化φを図のように定める。
図5(b)は、上側のボール溝を、接触角に平行な面で切断した断面図(図5(a)のA-A断面図)である。ボールは、すべて一定の中心間距離 tで並んでいると仮定し、ボールの番号を左から順に i = 1, 2, 3,…,nと定める。ベアリングの長手方向中央を原点として、ボール溝に沿って X座標を定める。ボール1の中心のX座標をX1 (-L1 / 2 X1 < t - L1 / 2)とすると、i番目のボール中心のX座標Xiは式(1)で与えられる。
Xi = X1 + ( i - 1 ) t ・・・・・・(1)
ベアリングが上下方向にΔz、ピッチング方向にΔφ姿勢変化した時、i番目のボールの弾性変形量δiは式(2)で計算される。
δi = σo - Δz sinα + σCRi・・・・・・(2)
ただし σi < 0 となる場合は、σi = 0 とする。
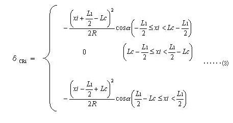
ここで、δ o は予圧によるボールの弾性変形量である。δCRiはクラウニングによるボールの弾性変形量(ゼロまたは負の値)であり、クラウニングが水平面内の円弧形状の場合、クラウニング半径をR、クラウニング長さをLcとして、式(3)で計算される。

i 番目のボールの玉荷重Qiは、式(4)で示される。
Qi = Kδi3/2 ・・・・・・(4)
ここに、Kはボールとボール溝の設計で決まる定数である。
同様に下溝のボール中心のX座標および玉荷重を、記号にダッシュ(´)をつけて表すと、ベアリングにおける力およびモーメントのつり合いは、式(5)および式(6)で示される。


式(1)~(6)を用いて、姿勢変化ΔzおよびΔφを求めることができる。実際には、式(5)と式(6)が成り立つようなΔzおよびΔφを数値計算によって算出する。左端のボール中心の座標 X1をパラメータにとってΔz,Δφを計算することによって、ベアリング移動量と姿勢変化の関係を得ることができる。
以上、上下方向とピッチング方向に関する計算方法を示したが、前節でも述べたように、左右方向とヨーイング方向、ローリング方向についても、同様に計算することができる。
3.4. 実測値と計算値の比較
ボールの配置が上下溝でボール中心間距離 t の1/2だけずれていると仮定した場合の、上下方向とピッチング方向についての計算結果の一例を図6に示す。ボール直径の約2倍(正確にはボール中心間距離の2倍)の波長の振動が認められる。
数種類のリニアガイドについて、転動体通過振動の実測値を計算値と比較した結果を図7に示す。なお前述のように、計算値は最大値を求めたものであるので、実測値も数回の測定を繰り返した中の最大値を採用している。実測値と計算値はよく一致しており、提案した計算方法の有効性が確認できる。

3.5. スーパーロング仕様の効果
転動体通過振動は転がり案内の構造上避けられないものであり、製品が幾何学的に正しく作られていても発生する。しかしリニアガイドの適正な設計によって、これを緩和することが可能である。ここでは、転動体通過振動を抑制することが可能なリニアガイドの設計指針を示す。
図8は、予圧によるボールの弾性変形量を一定とした場合の、1溝あたりの負荷を受ける転動体数(有効転動体数)と、3.3節の方法を用いた転動体通過振動の計算値の関係である。クラウニング形状は標準形状と、クラウニング半径を大きくした特殊形状の2種類について計算した。この結果から、有効転動体数を大きくし、クラウニング形状を特殊とすることで、転動体通過振動を抑制できることが分かる。
この結果を踏まえて、有効転動体数を標準長さのベアリングに対して約2倍あるいは3倍とし、クラウニングを特殊形状としたスーパーロング仕様のリニアガイドを開発した、写真1は2倍長のスーパーロング仕様のリニアガイドである。
1レール1ベアリングでの運動精度を、図1に示した方法で測定し、標準長のものと比較した結果を図9に示す。標準長さでは顕著な転動体通過振動が見られるが、スーパーロング仕様では2倍長、3倍長ともにほとんど変動は見られない。この結果から、スーパーロング仕様が転動体通過振動の抑制に効果的であることが分かる。

4. レールの精度向上
4.1. ボルトの締付けによるレールの変形
リニアガイドのレールは、ベースとなる部材にボルトによって締結、固定される。当然ながらレールは弾性体であるため、ボルトの締付けに伴う圧縮力によって変形を生じる。変形は図10に破線で模擬的に示すように、レールが長手方向にボルトピッチでうねる形態となり、運動精度誤差の要因になる。
NSKでは、レール溝の研削加工時に所定の締付けトルクでレールを固定してから加工を行い、実使用時においても同じ締付けトルクでボルト締結することによって、溝の精度を研削加工時の状態に復元させることをねらいとしている。それによって、レールの変形による精度誤差の要因の大半は取り除くことが可能である。
しかし、ボルトを所定のトルクで締付けたとしても、ボルトの摩擦係数(ボルトの座面やネジ部の潤滑状態)の違いなどによって、圧縮力(ボルトの軸力)には誤差やばらつきが生じる。また、仮に誤差なく締付けられたとしても、ベースの硬さや断面係数が溝研削時と実使用時とでは異なることから、完全な意味での復元は不可能ということになる。
そこで、仮にボルトの締付けの際の圧縮力やベースの違いによる誤差が生じても、レールの変形をできる限り小さくすることが高精度の用途には必要となる。

4.2. 変形の解析と対策の検討
ボルトの締付けによるレールの変形を抑制するための検討を行うにあたって、最初に、レールの高さ方向の変形形態を調べることとした。
レールの高さ方向の位置とボルトの締付けによる変形量(沈み込み量)との関係を、FEM解析を用いて求めた結果を図11に示す。解析にはNSKリニアガイドLH30を用いた。レールの両側面にはそれぞれ2つのボール溝(上溝と下溝)が形成されており、ボルト穴の座面は下溝の中心よりもやや低い位置が標準となっている。

図11から、ボルト座面から下の部分の変形が大きく現れていることが認められ、座面に近い下溝の近傍で変形量(沈み込み量)が最も大きいことが分かった。この結果から、変形量を小さくするためにはボルト座面から下の部分の長さを小さくすることが有効と考えられ、ボルト穴のざぐり深さを大きくすることを検討することとした。
ここで、レールの変形だけを考えると、ボルト穴のざぐり深さは大きいほど有利であると考えられるが、強度的な面からの限界があるので、強度解析を行ってざぐり深さを決定することにした。
FEMによる強度解析では、リニアガイドにはその許容最大荷重である基本静定格荷重が、レールをベースから引き離す方向に作用するとした。荷重作用点は取付けボルトスパンの中央とし、その両側の計2本のボルト部分のみで荷重を受け持つものとした。 ボルト穴のざぐり深さと、荷重によって座面の根元部分に生じる最大応力との関係を計算し、材料の強度との関係を比較検討した。その結果や下記する実験の結果から強度面の十分な安全を見込んで、ざぐり深さを標準の12㎜から18㎜へと大きくすることにした。 なお、ざぐり深さ18㎜のレールを用いた実験では、荷重を支えるボルトの数はFEM解析で設定した2本よりも実際には多いことや、荷重を基本静定格荷重よりもさらに大きくしていったときにはレールの座面部分よりもボルトの破損が先に生じることを、確認している。 また、レールのボルトピッチを小さくすることによっても、拘束点が増えることによって変形(長手方向のうねり)を小さくすることができると考えられるので、この対策も併せて行うこととした。
4.3. 対策の効果についての解析と実験
まず、対策の効果を評価するために実施したFEM解析の結果について述べる。
図12に示したFEMモデルは、リニアガイドLH30の標準仕様のレールの例である。レールの長手方向の位置(ボルト中心からの距離)と下溝の中心位置における変形量(沈み込み量)との関係について解析した結果を図13に示す。また、図13からレールの長手方向の変形(うねり)の最大幅を求めたものを図14に示す。

図14から、レールの変形(うねり)は標準仕様に対して、ざぐり深さを12mmから18mmへと大きくすることによって1/2以下に、ボルトピッチを80mmから40mmと1/2にすることによっておよそ80%に、さらに両者を組み合わせた場合には1/3程度へと抑制されていることが認められる。
次に、リニアガイドの運動精度への対策の効果を確認するために行った実験結果の一例を紹介する。
実際には、ざぐり深さ12㎜(標準)と18㎜(特殊)のリニアガイドLH30を用い、ボルトピッチについては標準のままとした。図1に示した方法で、オートコリメータを用いて行った運動精度測定の条件を下記し、結果を図15に示す。
試料 LH30超高荷重形、中予圧
測定速度 4mm/
測定ストローク 380mm
図15から、ざぐり深さ12㎜(標準)に見られるボルトピッチのうねり成分が、ざぐり深さを18㎜(特殊)と大きくすることによって特に認められなくなり、運動精度が大幅に向上していることが確認された。

5. あとがき
転動体通過振動やレールのボルト締付けによるリニアガイドの運動精度への影響について、理論的・実験的な検討を行った結果、高精度化への対策の効果が確認され、またその効果を計算によって推定することが可能となった。
市場の高精度化への要求はますます厳しくなってきている。今後更なる精度向上を目指して、運動精度誤差を抑制するための最適設計を確立していきたいと考えている。